Revitとシステム
システムのリンクと同期を開始する前に、dRofus データベースの分類を設定する必要があります:
分類をデータベースに追加
以下の記事をお読みになることをお勧めします: dRofusシステムについて
RevitシステムとdRofusシステムの関係
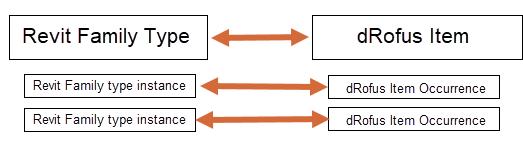
1対1の関係
BIMデータモデルとの整合性を確保するため、dRofus Systemsは、システムの作成と同期を可能にするデータモデルに基づいています。Revitでは、ファミリタイプはタイプオブジェクトとインスタンスオブジェクトの両方で構成されています。Revitのファミリタイプは、dRofusのアイテムにリンクされ、RevitのインスタンスはdRofusのオカレンスにリンクされます。システムを所有するオカレンスは、dRofusでは、”システムコンポーネント (System Component)”と呼ばれ、システムの一部であるオカレンスは、dRofusでは “コンポーネント (Component)”と呼ばれます。

RevitのファミリタイプとdRofusのアイテムとの間には、1対1の関係を維持することが不可欠です。
これは、dRofusの各アイテムには、タイプとシステム分類を指定する番号が、1つしか割り当てられないためです。したがって、異なる分類を必要とする、異なるインスタンスに対して、同じファミリタイプのオブジェクトを使用することは、できません。
システムの構成
分類番号を正確に生成するために、番号による分類を使用する場合は、Revitのシステムに対してファミリタイプのインスタンスを所有者として割り当てることをお勧めします。

以下は、dRofusにおけるアイテム(システムコンポーネントと呼ばれる)のインスタンスの例です。
このシステムコンポーネントは、それが属するシステムとともに、Revit内で、2つのシステムの所有者である、Revitファミリタイプのインスタンスからインポートされます。
なお、RevitとdRofusの両方におけるシステムコンポーネントは、以下の通りです:
(1) 2つのシステムの所有者
(2) 2つのシステムにコンポーネントとして接続されてます。

システムタイプまたはシステム名
Revitの機械・配管システムには (1) Revitシステムタイプ (2) Revitシステム名の2つのレベルがあります。

dRofus システムをどのレベルと同期させるかを選択して切り替えることができます。
ただし、最適な管理を可能にするため、同期には1つのレベルのみを使用することをお勧めします。

(1) System Type, (2) System Name
システムコンポーネント:
Revitのシステムブラウザでは、1つ以上のシステムを所有するように設定されたファミリタイプのインスタンスには、システムタイプの下に、フォルダアイコンが表示されます。このインスタンスは、dRofusでは “システムコンポーネント (System Component)”と呼ばれます。
