Revit and Systems
dRofus databases classification must be setup before starting to link and Synchronize systems:
Add Classification to the database
We recommend reading: Introduction dRofus Systems
Relationship between Revit Systems and dRofus Systems
One-to-one relationship
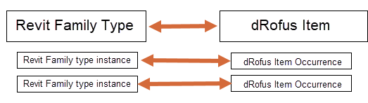
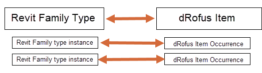
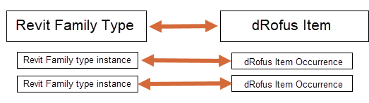
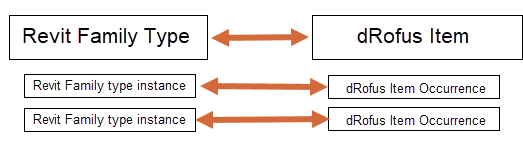
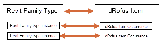
To ensure alignment with the BIM data-model, dRofus Systems is based on a data-model that allows for creating and synchronizing Systems. In Revit, a Family Type consists of both a type and an instance object. The Revit Family type is linked with an Item in dRofus, while the Revit instance is linked with an Occurrence in dRofus. An Item Occurrence that owns a system is called System Component in dRofus and Occurrence that is part of a system is called Component in dRofus.

It is essential to maintain a one-to-one relationship between Revit Family types and Items in dRofus. This is because each item in dRofus can only have one number giving type and system classification. Therefore, it is not possible to use the same Family type object for different instances that require different classifications.
System Organization.
We recommend assigning a family type instance as the owner to your Systems in Revit when using number giving classification, in order to ensure accurate generation of the classification number.

Below is an example of an Occurrence of an Item in dRofus, referred to as a System Component. The System Component, along with the system it belongs to, is imported from a Revit Family type instance that is owner of two systems within Revit. It is worth noting that the System Component in both Revit and dRofus is:
(1) Owner of two systems
(2) Connected as a component in two systems.

System Type or System Name
Revit have two levels of Systems for Mechanical and Piping Systems, (1) Revit System Types , (2) Revit System Name.

It is possible to switch between which levels the dRofus Systems should be synchronize with. However, to achieve optimal control, we advise using only one level for synchronization.

(1) System Type, (2) System Name
System Component:
In Revit System Browser the Family Type instance that is set to own one or more systems, have a folder icon under the System Type. This Instance is what we call in dRofus a System Component.
